Нужна опять помощь( Решите пожалуйста уравнения((
а) 3х-8=х+6
б) 7а-10=2-4а
в) 1/6y-1/2=3-1/2y
г) 2.6-0.2b=4.1-0.5b
д) p-1/4=3/8+1/2p
е) 0.8-y=3.2+y
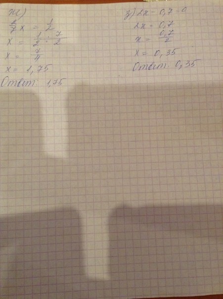
ж) 2/7х=1/2
з) 2х-0,7=0
Ответы
Ответ дал:
0
Если есть вопросы, задавай
Приложения:


Ответ дал:
0
Вопросов нет, ОГРОМНОЕ СПАСИБО!!!!
Ответ дал:
0
пожалуйста
Вас заинтересует
2 года назад
2 года назад
10 лет назад
10 лет назад
10 лет назад