Ответы
Ответ дал:
0
15.
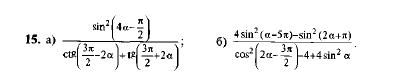
а) = cos²4α/(tq2α -ctq2α) = cos²4α/(sin2α/cos2α -cos2α/sin2α)= cos²4α/((sin²2α -cos²2α))/cos2αsin2α) =cos²4α* cos2αsin2α/(sin²2α -cos²2α) =cos²4α* (1/2)sin4α/(-cos4α) = -(1/2)*cos4α* sin4α = -(1/4)sin8α.
-------
б) =(4sin²α -sin²2α)/(sin²2α -4(1-sin²α)) =
(4sin²α -4sin²α*cos²α)/(4sin²α*cos²α -4cos²α) =4sin²α(1-cos²α)/4cos²α(sin²α -1)=
tq²α*sin²α/(-cos²α) = tq²α*(-tq²α) = -tq⁴α.
а) = cos²4α/(tq2α -ctq2α) = cos²4α/(sin2α/cos2α -cos2α/sin2α)= cos²4α/((sin²2α -cos²2α))/cos2αsin2α) =cos²4α* cos2αsin2α/(sin²2α -cos²2α) =cos²4α* (1/2)sin4α/(-cos4α) = -(1/2)*cos4α* sin4α = -(1/4)sin8α.
-------
б) =(4sin²α -sin²2α)/(sin²2α -4(1-sin²α)) =
(4sin²α -4sin²α*cos²α)/(4sin²α*cos²α -4cos²α) =4sin²α(1-cos²α)/4cos²α(sin²α -1)=
tq²α*sin²α/(-cos²α) = tq²α*(-tq²α) = -tq⁴α.
Вас заинтересует
3 года назад
3 года назад
8 лет назад
8 лет назад
10 лет назад
11 лет назад