Помогите прошу ,очень надо ,решите пожалуйста мне очень срочно на завтра по алгебре !
Приложения:
Ответы
Ответ дал:
0
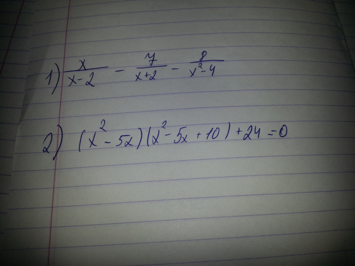
2) х² - 5х = t
t(t +10) +24 = 0
t² + 10t + 24 = 0
по т. Виета t1 = -6 и t2 = -4
a) t = -6 б) t = -4
x² - 5x = -6 x² - 5x = -4
x² -5x +6 = 0 x² - 5x + 4 = 0
x1 = 2, x2 = 3 x3 = 4 и х4 = 1
Ответ: 1, 3, 4
t(t +10) +24 = 0
t² + 10t + 24 = 0
по т. Виета t1 = -6 и t2 = -4
a) t = -6 б) t = -4
x² - 5x = -6 x² - 5x = -4
x² -5x +6 = 0 x² - 5x + 4 = 0
x1 = 2, x2 = 3 x3 = 4 и х4 = 1
Ответ: 1, 3, 4
Вас заинтересует
3 года назад
8 лет назад
10 лет назад
11 лет назад