• Предмет: Алгебра
  • Автор: ZefirkaNastya
  • Вопрос задан 10 лет назад

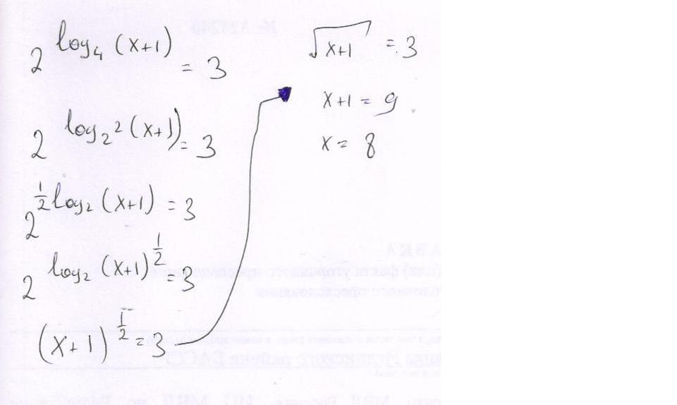
Как решить? 2^log4 (x+1)=3

Ответы

Ответ дал: ewgenijbark
0
см вложение
\\\\\\\\\\\
Приложения:
Вас заинтересует