• Предмет: Алгебра
  • Автор: Аноним
  • Вопрос задан 10 лет назад

Пожалуйста помогите!!!!!! Прошу вас без спам!!!' Прошу очень срочно!! Номер 124

Приложения:

Ответы

Ответ дал: ewgenijbark
0
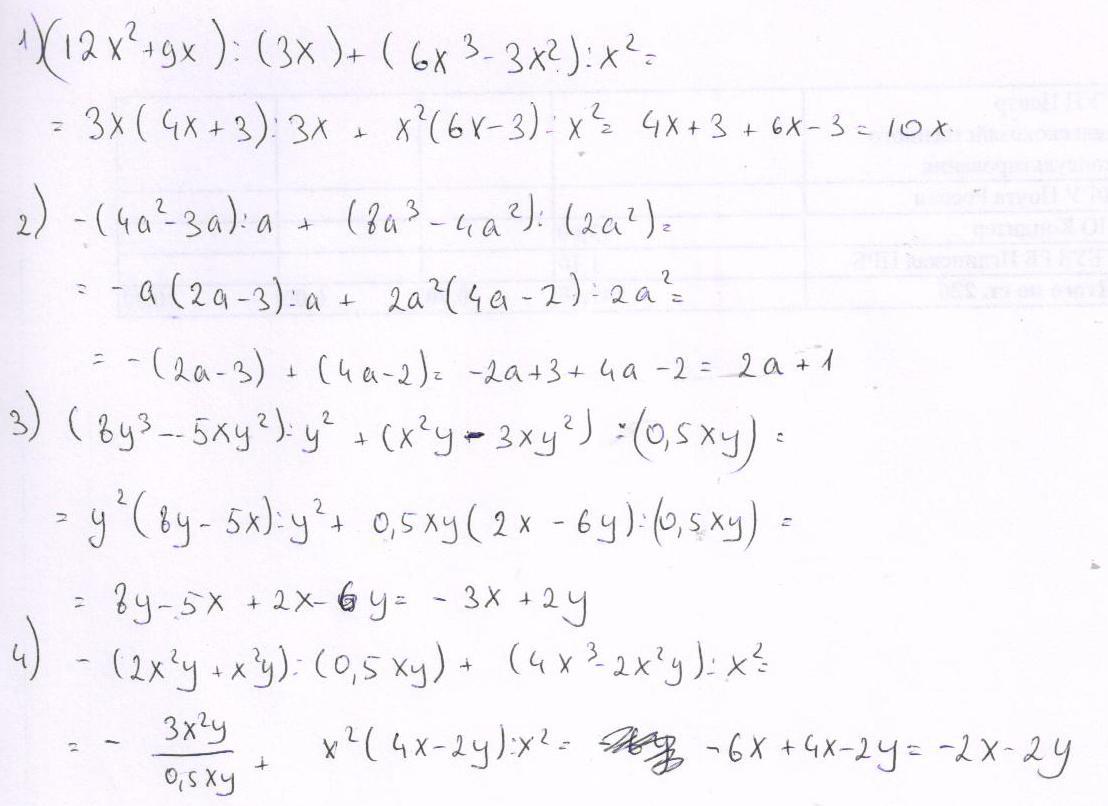
см. вложение
\\\\\\\\\\
Приложения:
Ответ дал: Аноним
0
спасибо огромное!
Ответ дал: ewgenijbark
0
рад помочь)
Ответ дал: Пеппер
0
упрощаем выражения " 124
Приложения:
Ответ дал: Аноним
0
спасибо большое!
Вас заинтересует