Сумма корней (корень, если он один) уравнения (х^2-9)(х-1)=(х-3)(х-1) равна:
1. 1
2. -2
3. 2
4. 6
5. 3
Ответы
Ответ дал:
0
см. вложение
\\\\\\\\\\\\
\\\\\\\\\\\\
Приложения:

Ответ дал:
0
http://znanija.com/task/14613607 можешь помочь?
Ответ дал:
0
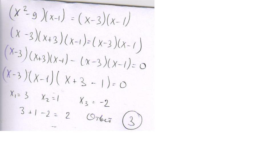
(x-3)(x+3)(x-1)-(x-3)(x-1)=0
(x-3)(x-1)(x+3-1)=0
(x-3(x-1)(x+2)=0
x1=3
x2=1
x3=-2
x1+x2+x3=3+1-2=2
(x-3)(x-1)(x+3-1)=0
(x-3(x-1)(x+2)=0
x1=3
x2=1
x3=-2
x1+x2+x3=3+1-2=2
Приложения:

Вас заинтересует
2 года назад
7 лет назад
10 лет назад
10 лет назад
10 лет назад