• Предмет: Математика
  • Автор: vlad58200
  • Вопрос задан 10 лет назад

плиз решите !!!дам 50 балов(ток с действями а не просто ответ)

Приложения:

Ответы

Ответ дал: ivawka2006
0

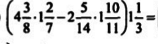
1.   4 frac{3}{8}*1 frac{2}{7}= frac{35}{8}* frac{9}{7}= frac{5*9}{8*1}= frac{45}{8}

2.   2 frac{5}{14}*1 frac{10}{11}= frac{33}{14}* frac{21}{11}= frac{3*3}{2*1}= frac{9}{2}

3.   frac{45}{8}- frac{9}{2}= frac{45-36}{8}= frac{9}{8}

4.   frac{9}{8}*1 frac{1}{3}= frac{9}{8}* frac{4}{3}= frac{3*1}{2*1}= frac{3}{2}=1 frac{1}{2}




Ответ дал: ivawka2006
0
в третьем пункте лишний символ не обращай внимание
Вас заинтересует