• Предмет: Алгебра
  • Автор: tanyatimchenko
  • Вопрос задан 10 лет назад

Помогите решить,не было не знаю темы.
Уравнение.

Приложения:

Ответы

Ответ дал: 14159265358979323846
0
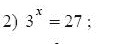
3^х=27 Х=3 2^(2х+1)=32 2х+1=5 Х=(5-1)/2=2
Вас заинтересует