Упростите выражение:
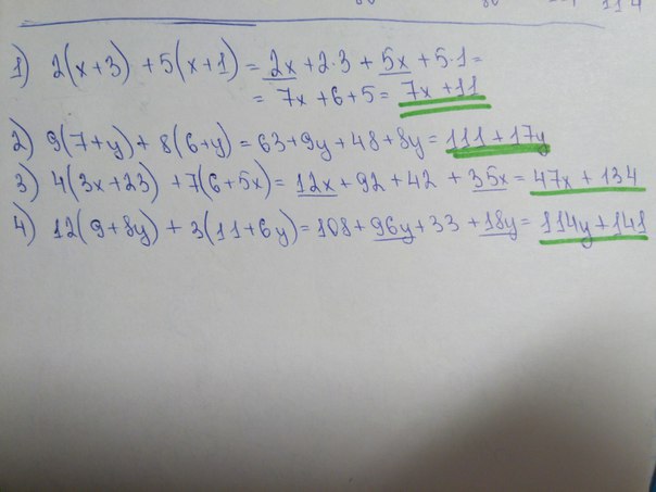
1) 2 (x+3)+5 (x+1); 3) 4 (3x+23)+7 (6+5x)
2) 9 (7+y)+8 (6+y); 4) 12 (9+8y)+3 (11+6y).
Ответы
Ответ дал:
0
Извини, что так долго
Приложения:

Ответ дал:
0
огромное спасибо вам:)
Ответ дал:
0
спасибо
Вас заинтересует
2 года назад
7 лет назад
10 лет назад
10 лет назад
10 лет назад