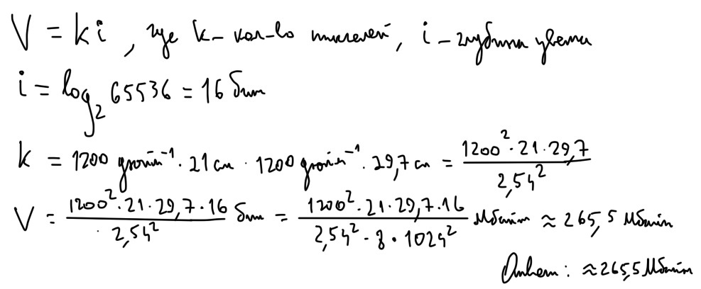
Сканируется цветное изображение стандартного размера А4 (21x29,7 см). Разрешающая способность сканера 1200 dpi и количество цветов 65 536.
Какой информационный объем в Мбайтах будет иметь полученный графический файл?
Примечание
1. Разрешающая способность сканера 1200 dpi ( dot per inch – точек на дюйм) означает, что на отрезке длиной 1 дюйм размещается 1200 точек.
2. 1 дюйм = 2,54 см
Ответы
Ответ дал:
0
Решение на картинке.
Приложения:
Вас заинтересует
2 года назад
2 года назад
8 лет назад
8 лет назад
10 лет назад
11 лет назад