• Предмет: Алгебра
  • Автор: Аноним
  • Вопрос задан 11 лет назад

1.вынести множитель из под знака корня

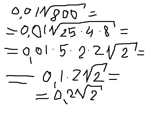
а)0,01√ 800

2.внести множитель под знак корня 

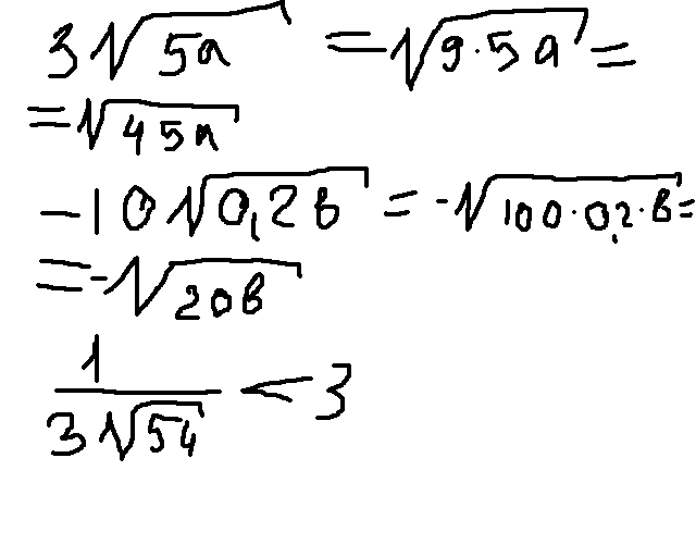
а)3√ 5а

б)-10√ 0,2в

3.сравните значения выражений

а)13√ 54 и 3

б)4√ 50 и 5√ 32

4.вынесите множитель из под знака корня

а)√ 4у^3

d)√ 8y^6,если у<0

Ответы

Ответ дал: anonymys1
0

решение во вложении)))))

Приложения:
Вас заинтересует