• Предмет: Химия
  • Автор: satan2
  • Вопрос задан 10 лет назад

Помогите пожалуйста за высокое кол-во баллов

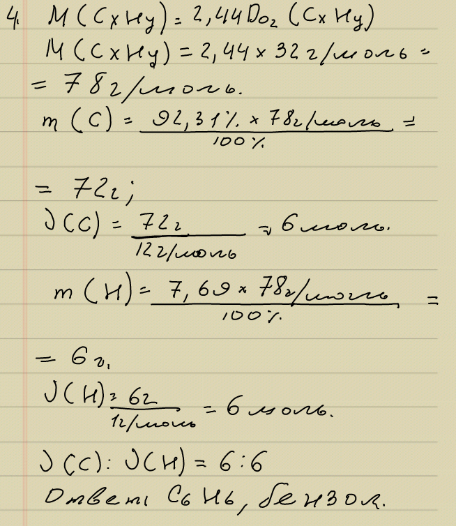
Приложения:

Ответы

Ответ дал: Аноним
0
---------------------
Приложения:
Ответ дал: satan2
0
блин, мужик ты все-таки нашел меня. спасибо большое ты лучший!!!!
Ответ дал: Аноним
0
Успехов на контрольной.
Вас заинтересует