Ответы
Ответ дал:
0
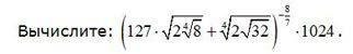
Решение смотри в приложении
Ответ 2
Приложения:

Ответ дал:
0
Спасибо огромное)))
Ответ дал:
0
Приложения:

Вас заинтересует
2 года назад
2 года назад
7 лет назад
7 лет назад
10 лет назад
10 лет назад
10 лет назад