Ответы
Ответ дал:
0
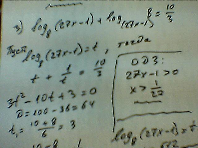
3. Решите уравнение
1-2
из правил сайта
Пользователи признают, что задания, которые содержат большое количество задач, требующих решения, должны быть разделены на два или несколько заданий и в таком виде добавлены в Сервис для других Пользователей. То есть в одном задании не может быть несколько задач.
Приложения:

Ответ дал:
0
Решение смотри во вложении.
Приложения:





Вас заинтересует
2 года назад
8 лет назад
8 лет назад
10 лет назад
10 лет назад