• Предмет: Математика
  • Автор: vladmaerenko
  • Вопрос задан 10 лет назад

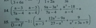
Помогите с упрощением выражений!!!
в 14 задание ответ 4,но мне нужно решение

Приложения:

Ответа на этот вопрос пока нет. Попробуйте найти его через форму поиска.

Вас заинтересует