• Предмет: Математика
  • Автор: myfebruaryand
  • Вопрос задан 10 лет назад

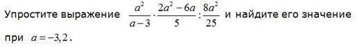
помогите пожалуйста до завтра решить надо

Приложения:

Ответы

Ответ дал: ВладимирБ
0
Решение смотри в приложении
Приложения:
Вас заинтересует