• Предмет: Математика
  • Автор: emilzakharovS
  • Вопрос задан 10 лет назад

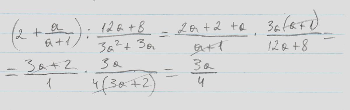
Выполните действия. Файл внизу

Приложения:

Ответы

Ответ дал: Косинус13
0
...................................
Приложения:
Вас заинтересует