• Предмет: Алгебра
  • Автор: анонимаананимовна
  • Вопрос задан 10 лет назад

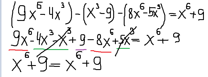
Докажите тождество (9х^6-4x^3)-(x^3-9)-(8x^6-5x^3)=x^6+9

Ответы

Ответ дал: Алина973
0
....................
Приложения:
Вас заинтересует