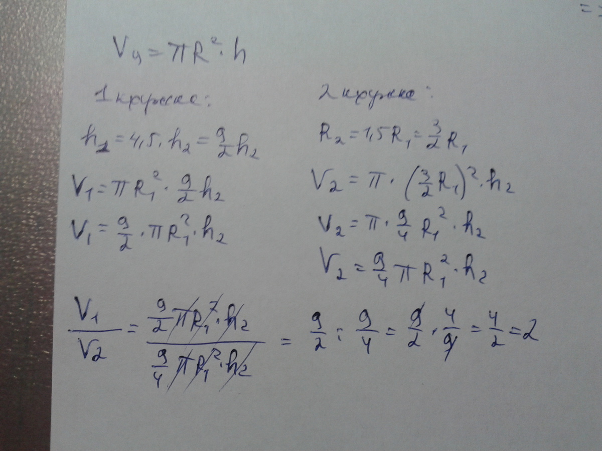
Две кружки имеют форму цилиндра. Первая кружка в четыре с половиной раза выше второй, а вторая в полтора раза шире первой. Во сколько раз объем первой кружки больше объема второй?
у меня получилось 0,5, а в ответах должно быть 2. не понимаю, что делаю не так
Ответы
Ответ дал:
0
Всё подробно написала в решении.
Приложения:

Вас заинтересует
2 года назад
2 года назад
7 лет назад
7 лет назад
10 лет назад
10 лет назад
10 лет назад