Ответы
Ответ дал:
0
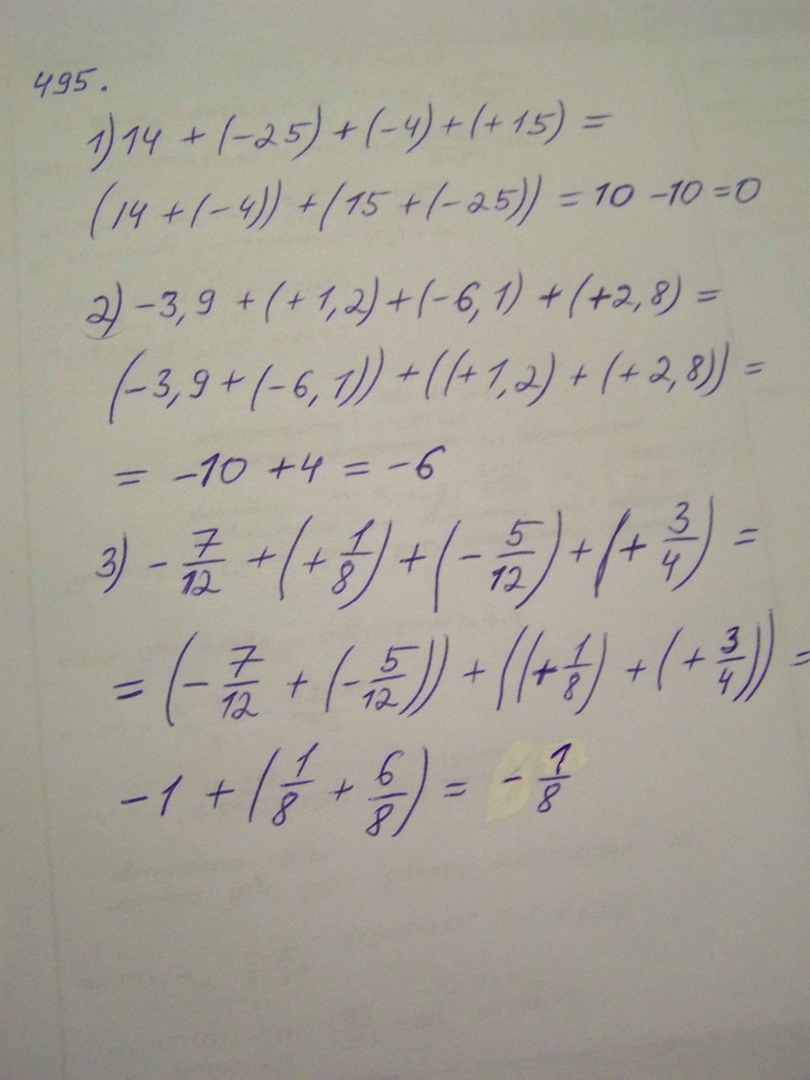
1) 0.
2) -6.
3)1/8.
2) -6.
3)1/8.
Ответ дал:
0
а если с решением
Ответ дал:
0
решение обязательно
Ответ дал:
0
можешь решить с объяснением
Ответ дал:
0
пожалуйста
Ответ дал:
0
:-):-):-):-):-):-)
Ответ дал:
0
решение на фото
решение на фото
решение на фото
Приложения:

Ответ дал:
0
спс
Ответ дал:
0
очень мне помог
Ответ дал:
0
еще раз спс
Ответ дал:
0
да пожалуйста)
Вас заинтересует
2 года назад
2 года назад
7 лет назад
10 лет назад
10 лет назад