• Предмет: Математика
  • Автор: biatlon1994
  • Вопрос задан 10 лет назад

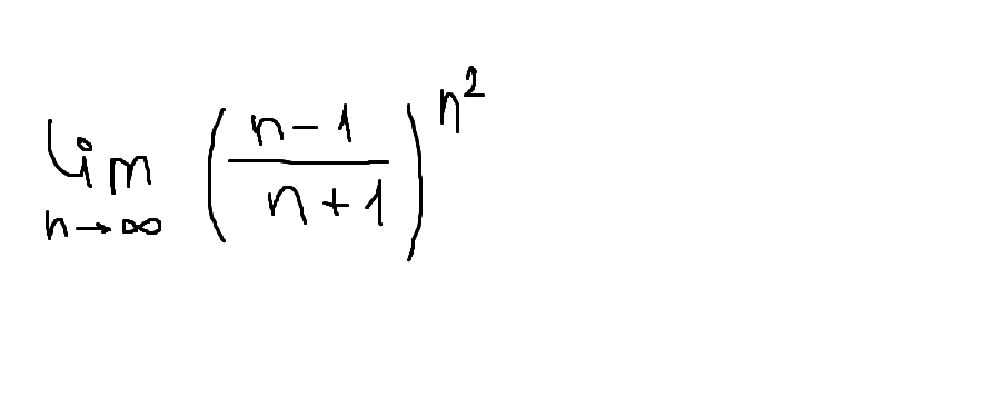
Пожалуйста, помогите решить! Вычислить предел последовательности.

Приложения:

Ответы

Ответ дал: srzontmp
0
lim(n->∞)((n-1)/(n+1))^n=lim(n->∞)(1-2/(n+1))^n=e^(-2)=
1/(2,71828...)^2=0,1353...
lim(n->∞)(0,1353...)^n=0
lim(n->∞)((n-1)/(n+1))^n^2=lim(n->∞)(0,1353)^n=0

Вас заинтересует