Ответы
Ответ дал:
0
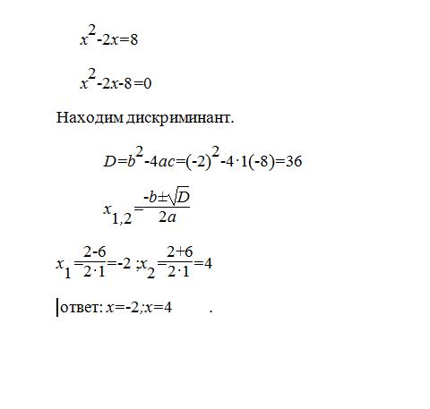
x^2−2x-8=0
по т. Виета
х=4 х=-2
Ответ дал:
0
====================================================
Приложения:

Вас заинтересует
2 года назад
2 года назад
8 лет назад
8 лет назад
10 лет назад
10 лет назад
10 лет назад