Автомобиль массой 1200кг движется горизонтально со скоростью 54 кмч. При резком торможении сила трения равно 5400Н. Автомобиль остановиться через
ответ 25м
Ответы
Ответ дал:
0
надеюсь будет понятно...
Приложения:

Ответ дал:
0
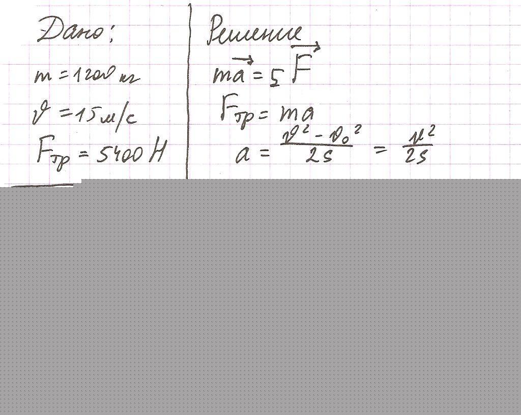
Дано:
m=1200 кг.
V0=54 км/ч=15 м/с.
Fтр=5400 Н.
S=?
_______
Решение:
Запишем второй закон Ньютона:
Откуда, ускорение (а) равно:
Теперь запишем формулу скорости для равноускоренного (Равнозамедленного) движения:
Имеем право приравнять данные формулы:
Считаем:
S=15^2*1200/2*5400=25 метров.
Ответ: S=25 метров.
При торможении авто, его скорость уменьшается - ускорение имеет отрицательный знак.( Знак "минус"). Но в данной задаче это опускается.
И да, извиняюсь за задержку, занят был))
Приложения:

Вас заинтересует
2 года назад
8 лет назад
8 лет назад
10 лет назад
10 лет назад