• Предмет: Алгебра
  • Автор: Алиса69
  • Вопрос задан 11 лет назад

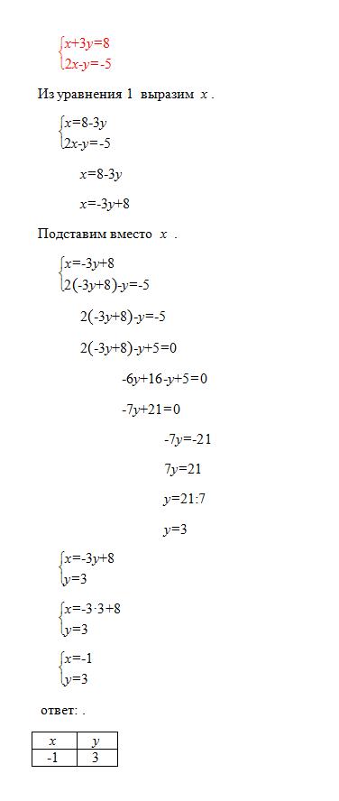
a) {x+3y=8 {2x-y=-5 б) {3m-4n=20 {m+2n=0 в) {x+z/2=1 {x-z=3 г) {2x+5y=-3 {4x+3y=-27 д) {t-5s=0 {2t-s=9 е) {y/3-z/2=1/2 {2y+3z=1

Ответы

Ответ дал: triolana
0

=================================================

Приложения:
Вас заинтересует