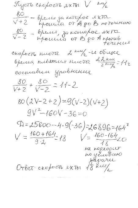
Растояние между пристонями А и В равна 80 км.Из А в В по течению реки отправился плот, а через 2 часв вслед за ним отправилась яхта которая прибыв в пункт В , тотчас повернулася обратно и возвратилась в А. К этому времени плот прошел 22 км. Найдите скорость яхты в неподвижной воде, если скорость течения реки ровна 2км/ч. Ответ дайте в км/ч
Ответы
Ответ дал:
0
скорость яхты в в неподвижной воде 18 км/ч
Приложения:

Вас заинтересует
2 года назад
2 года назад
8 лет назад
8 лет назад
10 лет назад
10 лет назад
10 лет назад