Ответы
Ответ дал:
0
решения на фото*************************
Приложения:


Ответ дал:
0
выложила два фото, надеюсь второе фото видно
Ответ дал:
0
иногда, когда большой перерыв между решениями , говорят, что не загружается более последнее решение
Ответ дал:
0
Да видно, спасибо Вам большое.
Ответ дал:
0
там в конце не пояснила: cos 3x при х=0 = cos0=1, получается 1/3*1=1/3
Ответ дал:
0
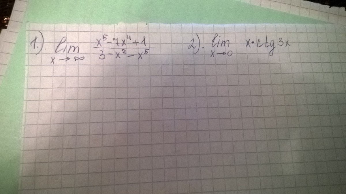
1) Делим числитель и знаменатель на старший член, то есть на x^5

1/oo = 0, вместо маленьких дробей подставляем нули и получаем ответ: -1
2)
Согласно 1 Замечательному пределу, дробь стремится к 1/3.
Получаем:
1/oo = 0, вместо маленьких дробей подставляем нули и получаем ответ: -1
2)
Согласно 1 Замечательному пределу, дробь стремится к 1/3.
Получаем:
Приложения:


Ответ дал:
0
Спасибо.
Вас заинтересует
2 года назад
2 года назад
7 лет назад
7 лет назад
10 лет назад
10 лет назад
10 лет назад