• Предмет: Алгебра
  • Автор: irafop61
  • Вопрос задан 10 лет назад

Помогите вычислить логарифмы
Заранее большое спасибо

Приложения:

Ответы

Ответ дал: bearcab
0
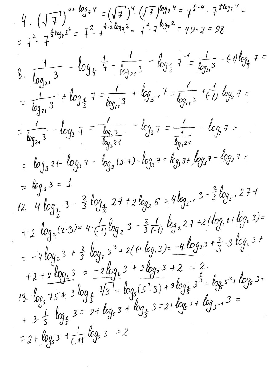
Решение в приложении.
Приложения:
Вас заинтересует