Ответы
Ответ дал:
0
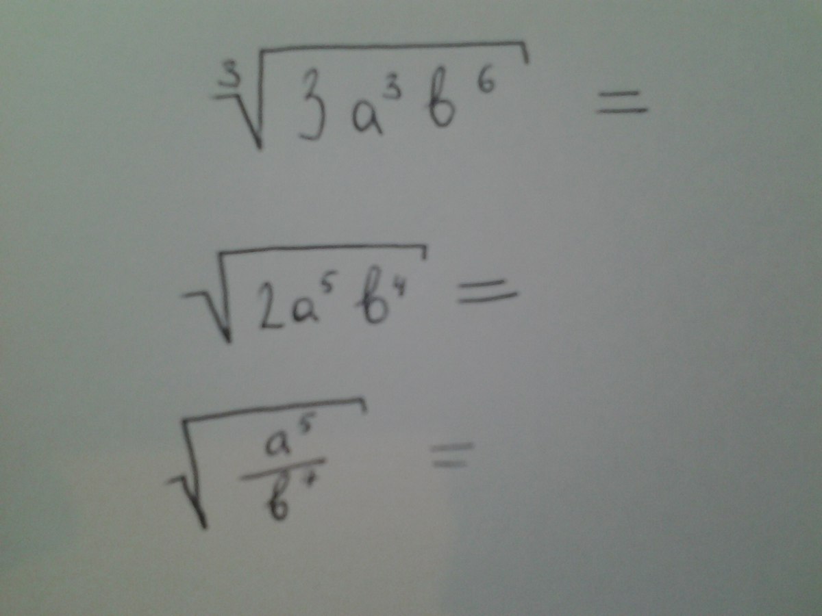
1) ![sqrt[3]{3a^3b^6}= sqrt[3]{3} * a^{frac{3}{3}} * b^{frac{6}{3}}= sqrt[3]{3}ab^2 sqrt[3]{3a^3b^6}= sqrt[3]{3} * a^{frac{3}{3}} * b^{frac{6}{3}}= sqrt[3]{3}ab^2](https://tex.z-dn.net/?f=+sqrt%5B3%5D%7B3a%5E3b%5E6%7D%3D+sqrt%5B3%5D%7B3%7D+%2A+a%5E%7Bfrac%7B3%7D%7B3%7D%7D+%2A+b%5E%7Bfrac%7B6%7D%7B3%7D%7D%3D++sqrt%5B3%5D%7B3%7Dab%5E2)
2)
3)
2)
3)
Вас заинтересует
2 года назад
2 года назад
8 лет назад
8 лет назад
10 лет назад