Ответы
Ответ дал:
0
№11
а) числитель = 3 +7 -3 = 7
знаменатель = 7/49 +1/49 -2 8/49 = 8/49 - 2 8/49 = -2
Ответ: -7/2 = -3,5
б) числитель = 1 +5 - 4·1 = 2
знаменатель = 1/16 + 4/16 -3/8 = 1/16 +4/16 -6/16 =-1/16
Ответ: -32
№16
а) 1) первая дробь:
числитель и знаменатель умножим на √(8 - 2√7)
получим: числитель = √36=6
знаменатель = 8 - 2√7 = 2(4 - √7)
сама дробь = 3/(4-√7)
впереди стоит множитель 3, получаем 9/(4 - √7)
2) вторая дробь:
числитель и знаменатель умножим на √(3 - √7)
получим числитель = √2
знаменатель = 3 - √7
Стоит множитель √2⇒ вторая дробь = 2/(3 - √7)
Сам пример:
9/(4 - √7) - 2/(3 - √7) = (9(3 - √7) - 2(4-√7) )/(4 - √7)(3 - √7) = 1
в) здесь разность кубов:
∛2³ -∛5³ = 2 - 5 = -2
г) 4 - 2√3 = 3 -2√3 +1 = (√3 - 1)²
сам пример:
∛(√3 -1)·∛(1 +∛3)·∛4 = ∛(3 -1)·∛4 = ∛8 = 2
д) первые 2 множителя:
(2 - √(2+√3))(2 +√(2 +√3))= 4 -(2 + √3) = 2 -√3
сам пример:
√(2 - √3)·√(2 + √3) = √(4 -3) = 1
ж) 3 + 2√2 = 2 + 2√2 +1 = (√2 +1)²
сам пример:
√(√2 -1)·√(√2 +1) = √(2 -1) = 1
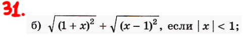
№31
б) если |x| <1, то
пример = 1 + х + 1 - х = 2
а) числитель = 3 +7 -3 = 7
знаменатель = 7/49 +1/49 -2 8/49 = 8/49 - 2 8/49 = -2
Ответ: -7/2 = -3,5
б) числитель = 1 +5 - 4·1 = 2
знаменатель = 1/16 + 4/16 -3/8 = 1/16 +4/16 -6/16 =-1/16
Ответ: -32
№16
а) 1) первая дробь:
числитель и знаменатель умножим на √(8 - 2√7)
получим: числитель = √36=6
знаменатель = 8 - 2√7 = 2(4 - √7)
сама дробь = 3/(4-√7)
впереди стоит множитель 3, получаем 9/(4 - √7)
2) вторая дробь:
числитель и знаменатель умножим на √(3 - √7)
получим числитель = √2
знаменатель = 3 - √7
Стоит множитель √2⇒ вторая дробь = 2/(3 - √7)
Сам пример:
9/(4 - √7) - 2/(3 - √7) = (9(3 - √7) - 2(4-√7) )/(4 - √7)(3 - √7) = 1
в) здесь разность кубов:
∛2³ -∛5³ = 2 - 5 = -2
г) 4 - 2√3 = 3 -2√3 +1 = (√3 - 1)²
сам пример:
∛(√3 -1)·∛(1 +∛3)·∛4 = ∛(3 -1)·∛4 = ∛8 = 2
д) первые 2 множителя:
(2 - √(2+√3))(2 +√(2 +√3))= 4 -(2 + √3) = 2 -√3
сам пример:
√(2 - √3)·√(2 + √3) = √(4 -3) = 1
ж) 3 + 2√2 = 2 + 2√2 +1 = (√2 +1)²
сам пример:
√(√2 -1)·√(√2 +1) = √(2 -1) = 1
№31
б) если |x| <1, то
пример = 1 + х + 1 - х = 2
Ответ дал:
0
огромное, преогромное спасибо!!!!! очень спасли меня
Ответ дал:
0
Рад, если помог. Я подробно сделал, наверное, разберёшься...
Ответ дал:
0
всё очень понятно, спасибо ещё раз, просто спаситель=*
Вас заинтересует
3 года назад
3 года назад
8 лет назад
8 лет назад
10 лет назад
10 лет назад
11 лет назад