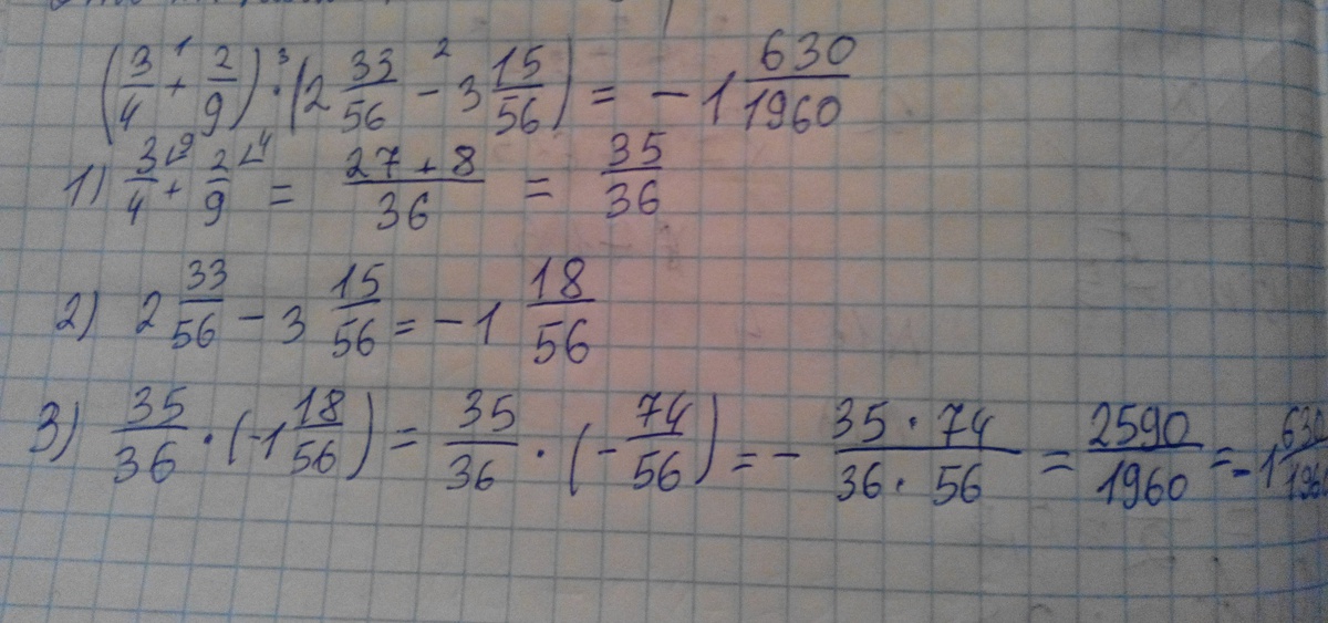
Помогите решить 1.) (3/4+2/9)*(2 целых 33/56 -3 целых 15/56)
2.) 5,86 -3 целых 5/6*15/23+15/28:4 целых 2/7
Помогите !!!
Ответы
Ответ дал:
0
Вот решение (двадцать символов)
Приложения:
Ответ дал:
0
Спасибо большое ) ;-)
Вас заинтересует
2 года назад
2 года назад
8 лет назад
8 лет назад
10 лет назад
10 лет назад
10 лет назад