Ответы
Ответ дал:
0
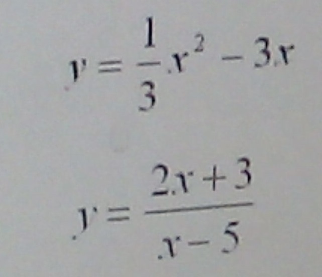
второе уравнение (решение системой)
2x+3>0
x-5 не равно 0
2x>-3
x не равно 5
x>-1.5
x не равно 5
решение системы (на числовом промежутке отмечаем точки -1,5 и 5)
Ответ:(-1.5;5) u (5; до бесконечности)
Если вы не проходили как отмечать числа на числовом промежутке то ответ можно оставить таким: x>-1.5
x не равно 5
2x+3>0
x-5 не равно 0
2x>-3
x не равно 5
x>-1.5
x не равно 5
решение системы (на числовом промежутке отмечаем точки -1,5 и 5)
Ответ:(-1.5;5) u (5; до бесконечности)
Если вы не проходили как отмечать числа на числовом промежутке то ответ можно оставить таким: x>-1.5
x не равно 5
Вас заинтересует
8 лет назад
8 лет назад
10 лет назад
10 лет назад
11 лет назад