• Предмет: Алгебра
  • Автор: madisonbeer
  • Вопрос задан 10 лет назад

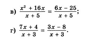
ребята помогите решить уравнения!!!

Приложения:

Ответы

Ответ дал: Sena112
0
.......................................
Приложения:
Ответ дал: madisonbeer
0
а г? реши пожалуйста:(
Ответ дал: Sena112
0
решила
Ответ дал: Аноним
0
Я же написал, в обоих нет корней....
Ответ дал: madisonbeer
0
Sena112 пожалуйста кинь решение г примера
Ответ дал: madisonbeer
0
фото
Вас заинтересует