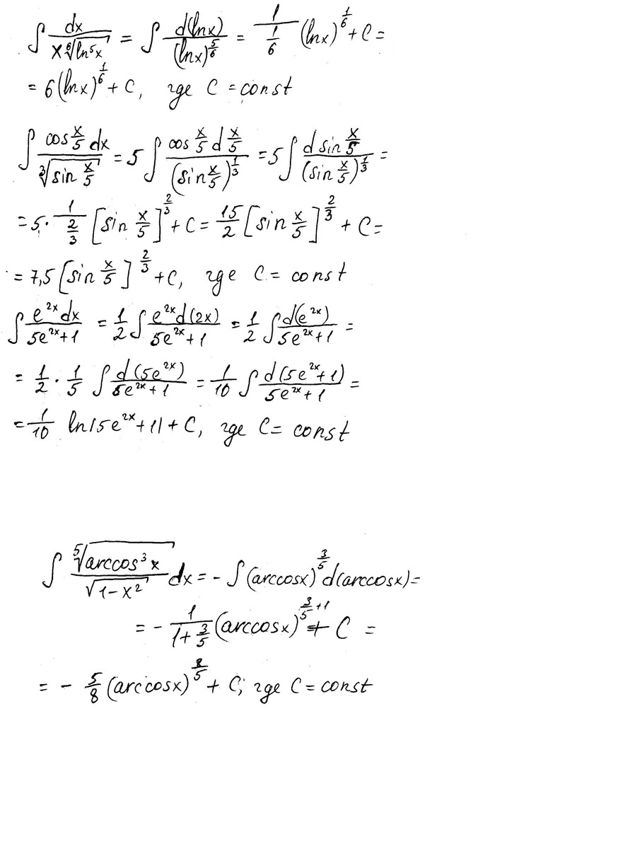
Вычислить интегралы от данных функций:< 1) dx/x*sqrt^6(ln^5x) 2) cos(x/5)*sqrt(3sin(x/5))dx 3) (e^(2x)/5e^(2x)+1)dx 4)( sqrt^5(arccos^3(x))/sqrt(1-x^2))dx 5) dx/sqrt^4(5-3x)
Ответы
Ответ дал:
0
Решение в приложении. Должно быть понятно.
Приложения:
Вас заинтересует
3 года назад
3 года назад
8 лет назад
8 лет назад
10 лет назад
10 лет назад
11 лет назад