• Предмет: Математика
  • Автор: ymKa1244
  • Вопрос задан 10 лет назад

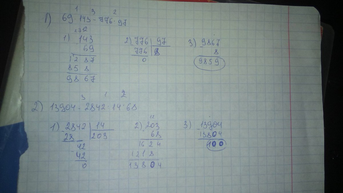
решите примеры столбиком

1)69*143-776:97

2)13904-2842:14*68
Помогите плиз

Ответы

Ответ дал: jjusters
0
Держи, столбиком, как ты и просил. 
Приложения:
Ответ дал: Пеппер
0
ошибка во втором примере
Ответ дал: Пеппер
0
решаем примеры столбиком
Приложения:
Вас заинтересует