• Предмет: Алгебра
  • Автор: GameKyu99
  • Вопрос задан 10 лет назад

Найдите корень уравнения:
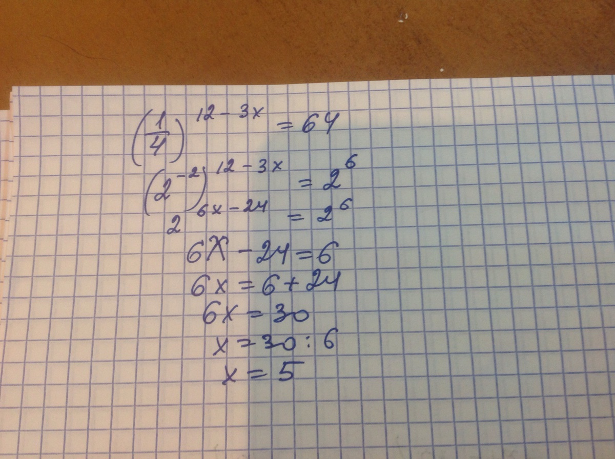
(1/4)^{12-3x}=64

Ответы

Ответ дал: ВладимирБ
0
Решение смотри в приложении
Приложения:
Ответ дал: Аноним
0
(2^-2)^(12-3x)=2^6
2^(6x-24)=2^6
6x-24=6
6x=30
x=5
Приложения:
Вас заинтересует