• Предмет: Геометрия
  • Автор: Tolya89
  • Вопрос задан 11 лет назад

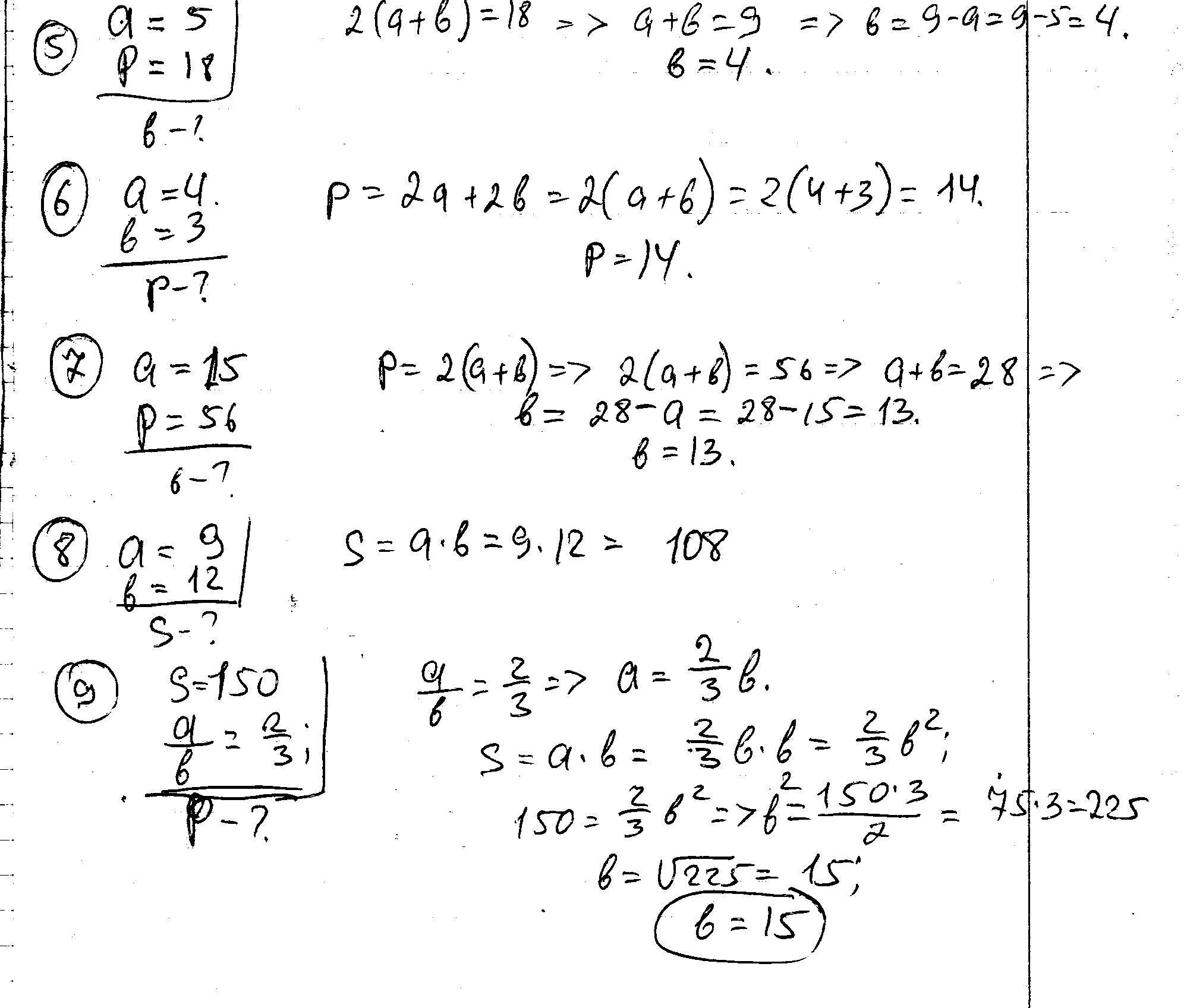
1)Периметр прямоугольника равен 32,а площадь 15.Найдите большую сторону прямоугольника. 2)Периметр прямоугольника равен 40,а площадь 75.Найдите большую сторону прямоугольника. 3)Найдите площадь прямоугольника,если его периметр равен 50 и одна сторона на 1 больше другой. 4)Сторона прямоугольника равна 13,а периметр равен 38.Найдите другую сторону прямоугольника. 5)Сторона прямоугольника равна 5,а периметр равен 18.Найдите другую сторону прямоугольника. 6)стороны прямоугольника равны 4 и 3.Найдите периметр прямоугольника. 7)Сторона прямоугольника равна 15,а периметр равен 56.Найдите другую сторону прямоугольника. 8)сторона прямоугольника равна 9 и 12.Найдите площадь прямоугольника. 9)Найдите периметр прямоугольника,если его площадь равна 150,а отношение соседних сторон равно 2:3. Достаточно просто ответов

Ответы

Ответ дал: ужнеужели
0
решение в скане..............
Приложения:
Вас заинтересует