• Предмет: Алгебра
  • Автор: davidsahranov
  • Вопрос задан 10 лет назад

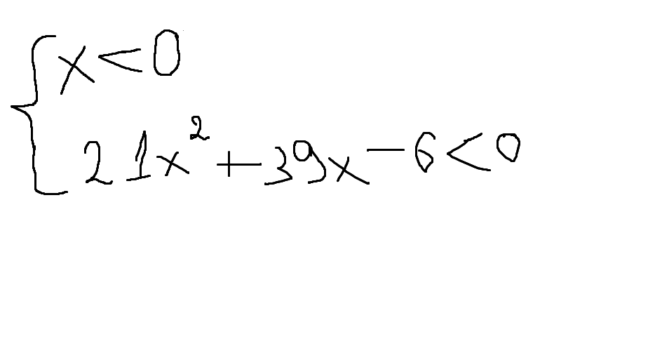
Решите систему неравенств:

Сори за корявый почерк мышкой не удобно писать!

Приложения:

Ответа на этот вопрос пока нет. Попробуйте найти его через форму поиска.

Вас заинтересует