в цилиндрический сосуд налиты ртуть и вода. общая высота 2 слоёв жидкости 14,6 см, а давление на дно сосуда 2,7 кПа. каково отношение масс ртути и воды?
Ответы
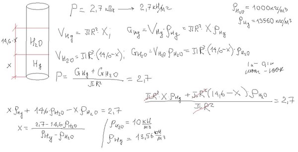
Рассуждения и формулы такие (вместо буквы "ро" буду писать "ro"): p=p(Hg)+p(H2O)=ro(Hg)*g*x+ro(H2O)*g*(0,146-x)=(ro(Hg)-ro(H2O))*g*x+ro(H2O)*g*0,146. (g=10 м/с^2 - ускорение свободного падения, х и 0,146-х высота столба ртути и воды, в м). Переведя 2,7 кПа в Па,получаем:
(ro(Hg)-ro(H2O))*g*x+ro(H2O)*g*0,146=2700,
(13560-1000)*10*х=2700-1000*10*0,146
х=(2700-1460)/125600=0,01 м или 1 см.
Соотношение масс ртути и воды n=m(Hg)/m(H2O)=ro(Hg)*x+ro(H2O)*(0,146-x)=13560*0,01/1000*0,136=1
Р= ро gh
P= Pртуть +P вода
Pртуть= ро ртути*g*h1
P вода=ро воды *g*(14,6-h1)=2.7- ро ртути*g*h1
в тоже время ро=m/V=m/Sh
ро ртути=m ртути/Sh1
ро воды=m воды/(S(14,6-h1))
или смотри во влажении................................................................
