• Предмет: Математика
  • Автор: MMssM
  • Вопрос задан 10 лет назад

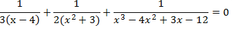
1/3(х-4) +1/(2(x^2+3))+1/(x^3-4x^2+3x-12)=0

Помогите, пожалуйста

Приложения:

Ответы

Ответ дал: makstobmx
0
К общему знаменателю и должно все получиться
Ответ дал: MMssM
0
это понятно, я и не могу привести у общему знаменателю
Вас заинтересует