помогите пожалуйста решить кто знает :
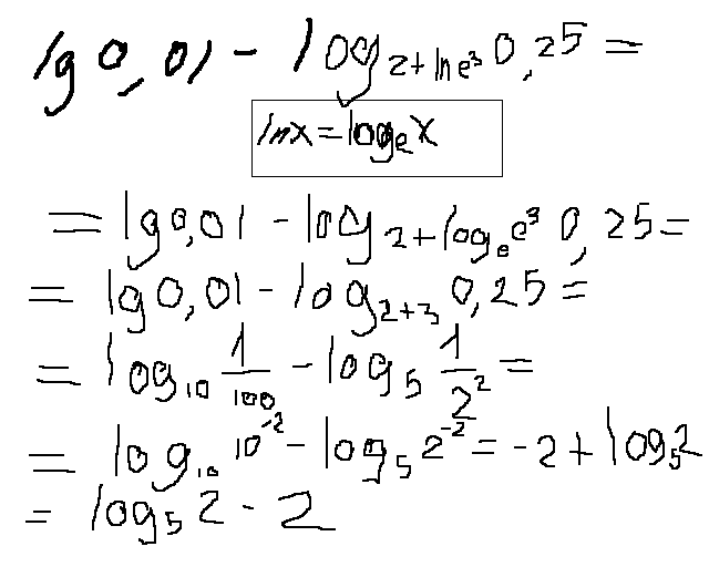
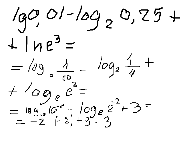
lg числа 0.01 - log числа 1/4 по основанию 2 + ln e^3 = ....
с решением помогите
Ответы
Ответ дал:
0
решение во вложении)))))))))))) или во 2-ом вложении
Приложения:


Ответ дал:
0
Приложения:


Вас заинтересует
2 года назад
8 лет назад
8 лет назад
10 лет назад
10 лет назад
10 лет назад