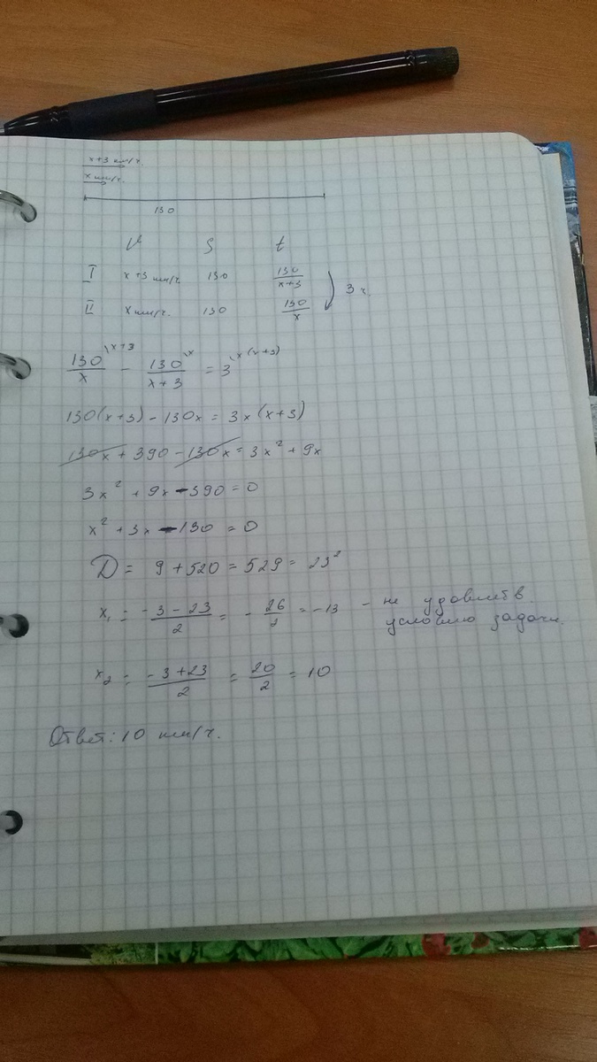
Два велосипедиста одновременно отправились в 130- километровый пробег. Первый ехал со скоростью на 3 км/ч большей, чем скорость второго, и прибыл к финишу на 3 часа раньше второго. Найти скорость велосипедиста, пришедшего к финишу вторым. Ответ дайте в км/ч
Ответы
Ответ дал:
0
....................
Приложения:

Вас заинтересует
7 лет назад
10 лет назад
10 лет назад
10 лет назад