Ответы
Ответ дал:
0
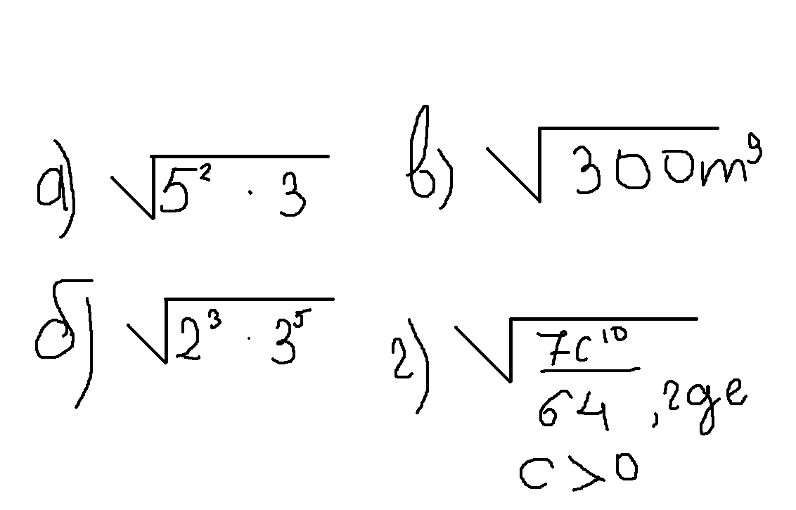
√5² * 3 = 5√3
√2² * 2 * 3² * 3² * 3 = 2*3*3√2*3 = 18√6
√3 * 10² * m⁸ * m = 10m⁴√3m
c⁵/8√7
√2² * 2 * 3² * 3² * 3 = 2*3*3√2*3 = 18√6
√3 * 10² * m⁸ * m = 10m⁴√3m
c⁵/8√7
Вас заинтересует
3 года назад
3 года назад
8 лет назад
8 лет назад
10 лет назад
10 лет назад
11 лет назад