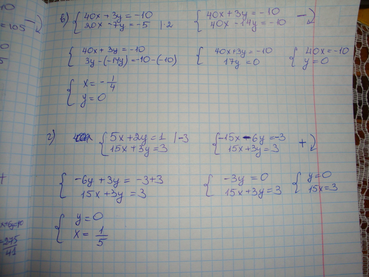
Очень прошу помогите!!!- решить систему уравнений методом алгебраического сложения!!!- а) 5х + 3у = 20 2х - 4у = 21 б) -5х+3у=20 2х+7у=47 в) 40х+3у=-10 20х-7у=-5 г) 5х+2у=1 15х+3у=3
Ответы
Ответ дал:
0
Во вложении
*********************************************************************************
Приложения:


Вас заинтересует
2 года назад
2 года назад
8 лет назад
10 лет назад
10 лет назад