• Предмет: Алгебра
  • Автор: somrap
  • Вопрос задан 10 лет назад

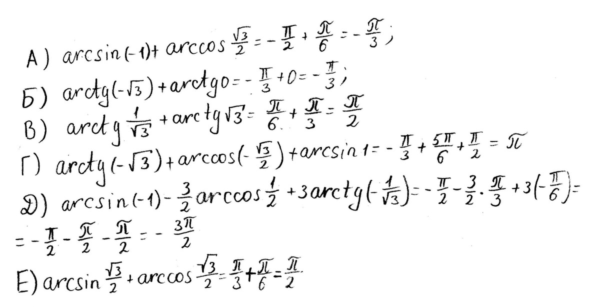
помогите срочно решить: A) arcsin (-1) + arccos корень из 3 /2. Б) arctg ( - корень из 3) + arctg 0. В) arctg 1/ на корень из 3 + arctg корень из 3 Г) arctg ( - корень из 3 ) + arccos ( - корень из 3 / 2) +arcsin 1 Д) arcsin ( -1 ) - 3/ 2 arccos 1/2 +3 arctg ( - 1 / на корень из 3) Е) arcsin корень из 3 / 2 + arccos корень из 3 /2

Ответы

Ответ дал: bearcab
0
Решение в приложении. Должно быть понятно.
Приложения:
Вас заинтересует