• Предмет: Алгебра
  • Автор: LALALO
  • Вопрос задан 11 лет назад

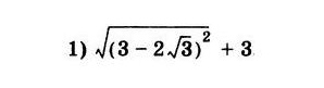
Как решить этот пример?

Приложения:

Ответы

Ответ дал: ЧемМогуПомогу
0

здесь нужно правильно извлекать корень, в данном случае при извлечении корня квадратного под знаком модуля будет отрицательное число, поэтому раскрывая модуль как надо, получим, что
(2*(корень3)-3) +3=2*(корень3)-3 +3=2*(корень3)

Ответ дал: lilyatomach
0

Ответ:

2sqrt{3} .

Объяснение:

Воспользуемся свойством корня

sqrt{x^{2} } =|x|

Тогда получим

sqrt{(3-2sqrt{3} )^{2} } +3=|3-2sqrt{3} |+3= 2sqrt{3} -3+3=2sqrt{3} .

Раскрывая модуль было учтено, что модуль отрицательного числа равен числу противоположному.

Вас заинтересует