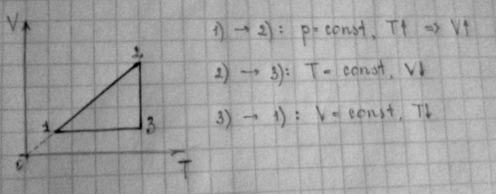
Определенная масса идеального газа испытывает сначала изобарное повышение температуры, а затем после изотермического сжатия и изохорного охлаждения возвращается в исходное состояние. Изобразить эти процессы в координатах (V,T).
Ответы
Ответ дал:
0
График и объяснения во вложении.
Приложения:
Вас заинтересует
3 года назад
3 года назад
8 лет назад
11 лет назад
11 лет назад
11 лет назад
11 лет назад