• Предмет: Алгебра
  • Автор: artem20111995
  • Вопрос задан 11 лет назад

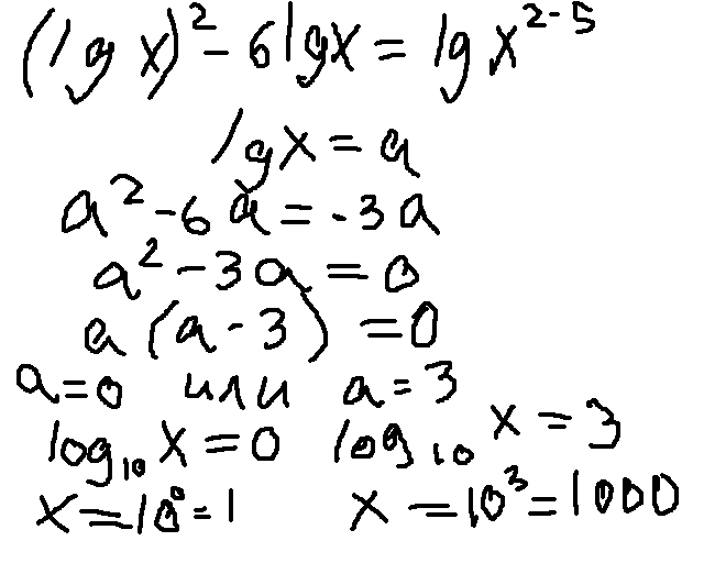
(lgx)^2 - 6 lgx =lg x ^2-5

Ответы

Ответ дал: anonymys1
0

решение во вложении)))))))))

Приложения:
Вас заинтересует