Катер прошел 36 км по течению реки и 20 км по озеру затратив на весь путь 5 часов. Найдите собственную скорость катера если скорость течения реки равна 2 км/ч
Ответы
Ответ дал:
0
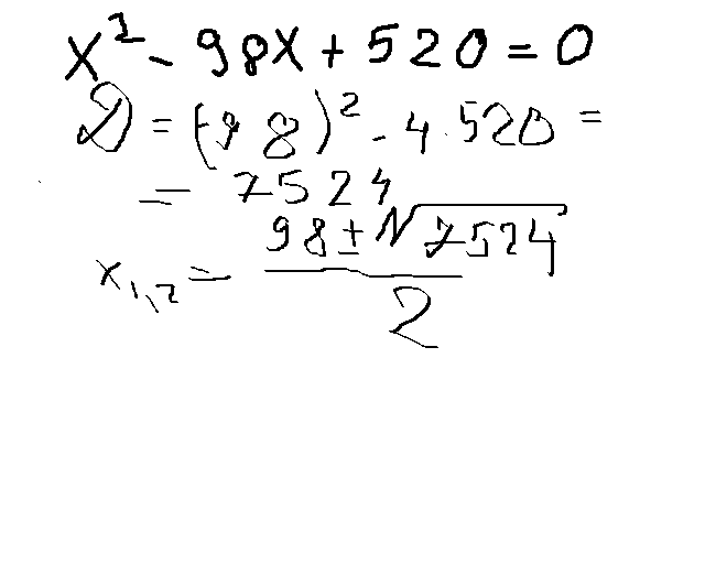
решение во вложении)))))))
Приложения:


Вас заинтересует
2 года назад
2 года назад
8 лет назад
10 лет назад
10 лет назад