• Предмет: Математика
  • Автор: cavid93267
  • Вопрос задан 10 лет назад

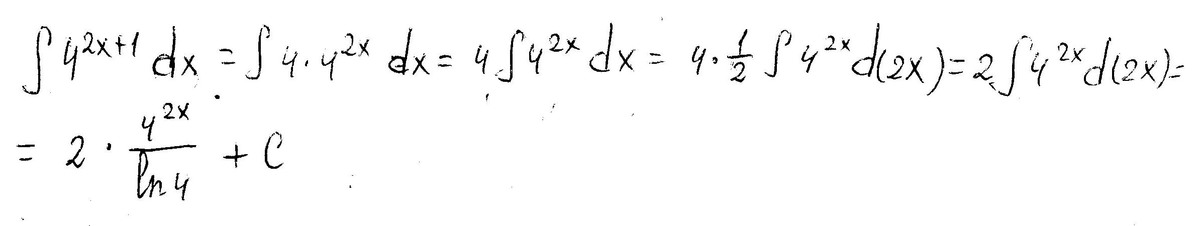
интеграл 4^(2x+1) пожалуйста формулу пример подробно напишите

Ответы

Ответ дал: bearcab
0
Решение в приложении. Должно быть понятно.
Приложения:
Вас заинтересует