Ответы
Ответ дал:
0
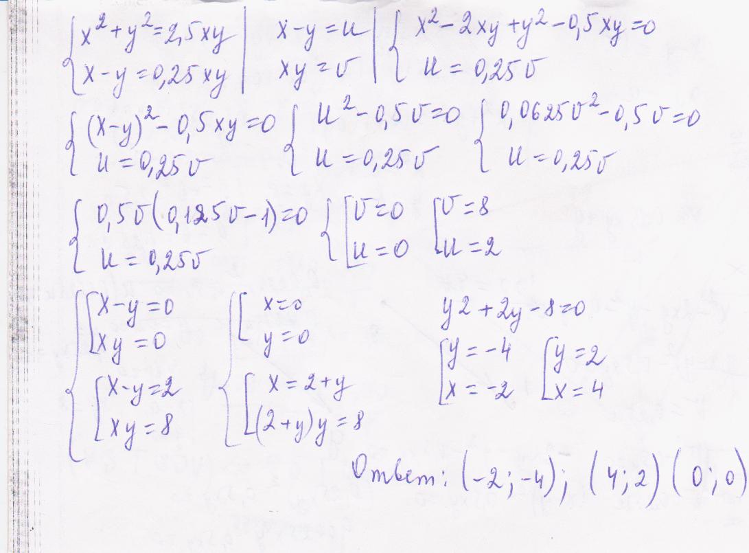
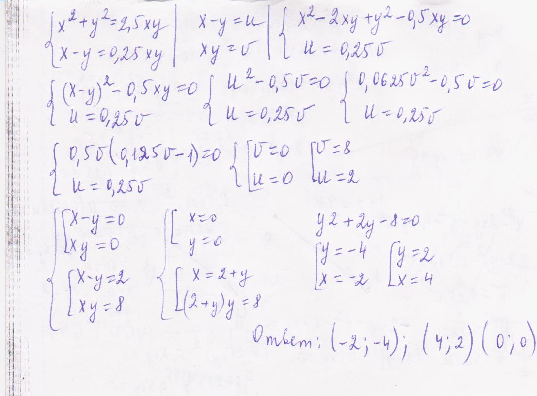
Возведем второе уравнение в квадрат, получим
Если xy=0, то x=y=0.
Если xy=8, то
После очевидной замены x=y+2 все быстро решится, ответ (-2,-4) или (4,2).
Ответ: (0,0), (-2,-4), (4,2)
Ответ дал:
0
решение вложено во вложении
Приложения:


Вас заинтересует
2 года назад
8 лет назад
10 лет назад
10 лет назад
10 лет назад